五线谱
钢琴
吉他
电子琴
葫芦丝
古筝
提琴
笛子
二胡
口琴
萨克斯
长笛
架子鼓
单簧管
作曲专题
作词专题
歌曲专题
演唱专题
五线谱网
:
五线谱
-
制谱园地
-
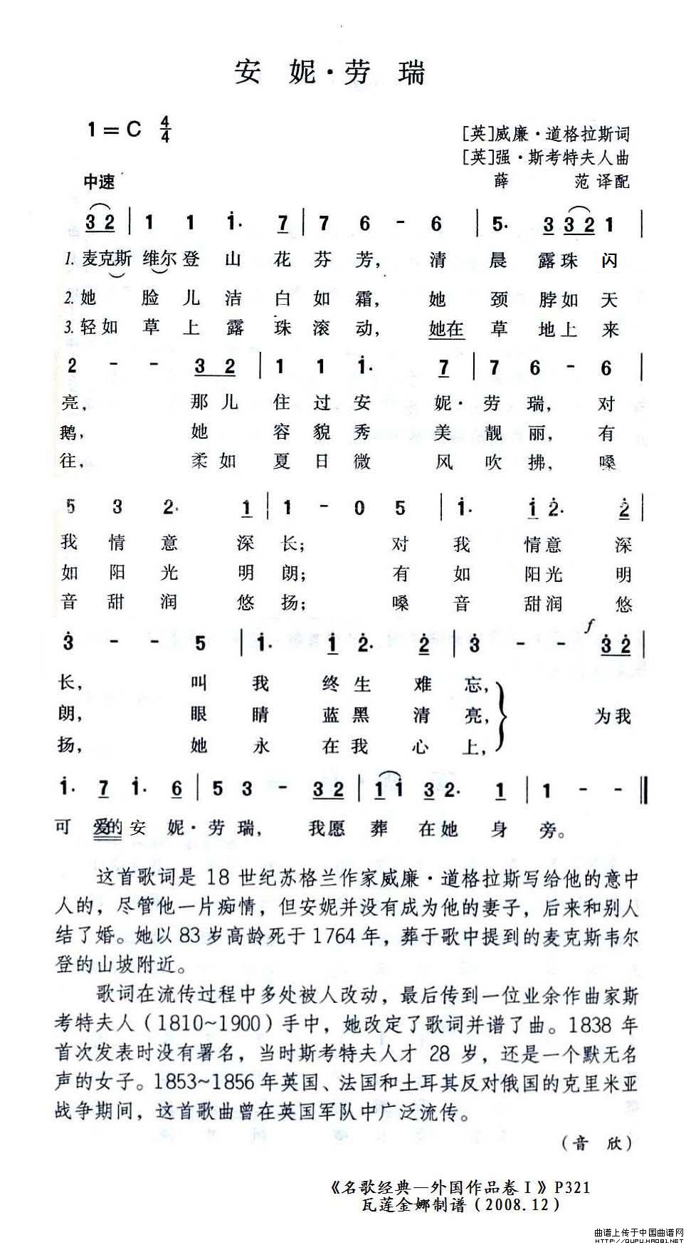
安妮·劳瑞(英)
安妮·劳瑞(英)
来源:
瓦莲金娜 制谱上传
时间:2024-07-29 20:52:08
阅读:605 次
上一篇:
安妮·萝莉(英)
下一篇:
爱情是幸福(前苏联)
五线谱
安妮·劳瑞(英)
曲谱
安妮·劳瑞(英)相关五线谱
放歌广州
赛江南
回头一望是乡愁(独唱)
让我听懂你的语言
农民翻身
乡土情
多情的梦
金秋的喜悦(葫芦丝独奏曲)
我是一只小花猫(王艳萍词 浅洋曲)
A Fighting Chance(小提琴谱)
天将明(《弹吧音教》制谱版)
TEN GREEN BOTTLES(十个绿瓶子)
每到秋天我就会想你(万莉)
大桥人
周总理和我们亲又亲
在别处
冰冷的酒杯悲伤的泪(DJ版)
最美的相遇(嗨波词 嗨波、大约冬季曲)
致月亮(中外文对照版、正谱)
美丽的三沙(何丽华 词曲)
东阳村歌
“刘介梅”选曲:门外北风似怒嚎
西昌月亮
清明梨花雨
歌唱毛主席(大明、宋艺词 怡明曲)
木偶步态舞(四重奏总谱)
棕色头发不要再卷起(专辑《王洛宾歌曲精选》)
盛世烟火
MV 朴家人(男声独唱)(独唱 合唱)
天后(李维聪编配)
五线谱乐器
手风琴
单簧管
管子
提琴
十二孔陶笛
电子琴
竖琴
八孔竖笛
钢琴
尤克里里
笙
六孔陶笛
萨克斯
圆号
非洲手鼓
葫芦丝
扬琴
二胡
爵士鼓
口琴
电吉他
唢呐
吉他
架子鼓
其它乐谱
大提琴
古琴
四孔陶笛
中阮
古筝
长笛
笛箫
民乐合奏
笛子