五线谱
钢琴
吉他
电子琴
葫芦丝
古筝
提琴
笛子
二胡
口琴
萨克斯
长笛
架子鼓
单簧管
作曲专题
作词专题
歌曲专题
演唱专题
五线谱网
:
五线谱
-
制谱园地
-
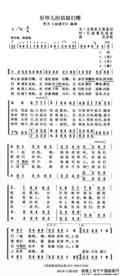
好样儿的姑娘们哪(前苏联)
好样儿的姑娘们哪(前苏联)
来源:
谱友瓦莲金娜 转发
时间:2024-08-02 18:53:52
阅读:601 次
上一篇:
飞跑(前苏联)
下一篇:
好心情之歌(前苏联)
五线谱
好样儿的姑娘们哪(前苏联)
曲谱
好样儿的姑娘们哪(前苏联)相关五线谱
弹月琴的小姑娘(合唱)
布衣姑娘的花背篼
潜海姑娘
达坂城的姑娘(架子鼓谱)
爱殇(小时姑娘演唱)
我的姑娘比谁都美丽(合唱)
[捷克] 爱挑剔的大姑娘
山下的姑娘
打工姑娘(独唱 合唱)
姑娘啊,你可是在等待
两个姑娘一个样
漂亮的姑娘嫁给我吧
串姑娘调
苗家姑娘采茶忙
拉萨姑娘(陈锡文词 任秀岭曲)
伊犁姑娘(陈道斌词 张吉华曲)
[俄]纺织姑娘(女声二重唱、五线谱)
蓝衣姑娘
牧鹤姑娘
尊姑娘稳坐在绣楼以上(豫剧《拷红》红娘唱段)
西子姑娘(二)(五线谱)
牧羊姑娘(狄帆词 金砂曲、线简谱混排版)
南方姑娘(赵雷 词曲)
[前苏联] 玛丽诺之歌(电影《蜻蜓姑娘》插曲 )
江南姑娘(汪晓罗词 党继志曲)
声乐教学曲库2-13[奥]我盼望有个好姑娘(正谱)(选自歌剧《唐璜》)
少年爱姑娘(台湾民歌)
花腰傣姑娘
达坂城的姑娘(版本2)(吉他独奏、五线谱)
西子姑娘(魏岚词 晓丹曲)
五线谱乐器
十二孔陶笛
二胡
尤克里里
笛箫
八孔竖笛
其它乐谱
口琴
架子鼓
单簧管
扬琴
非洲手鼓
电吉他
竖琴
古筝
民乐合奏
古琴
爵士鼓
四孔陶笛
中阮
提琴
管子
钢琴
圆号
萨克斯
吉他
唢呐
葫芦丝
电子琴
六孔陶笛
长笛
笙
手风琴
笛子
大提琴