五线谱
钢琴
吉他
电子琴
葫芦丝
古筝
提琴
笛子
二胡
口琴
萨克斯
长笛
架子鼓
单簧管
作曲专题
作词专题
歌曲专题
演唱专题
五线谱网
:
五线谱
-
制谱园地
-
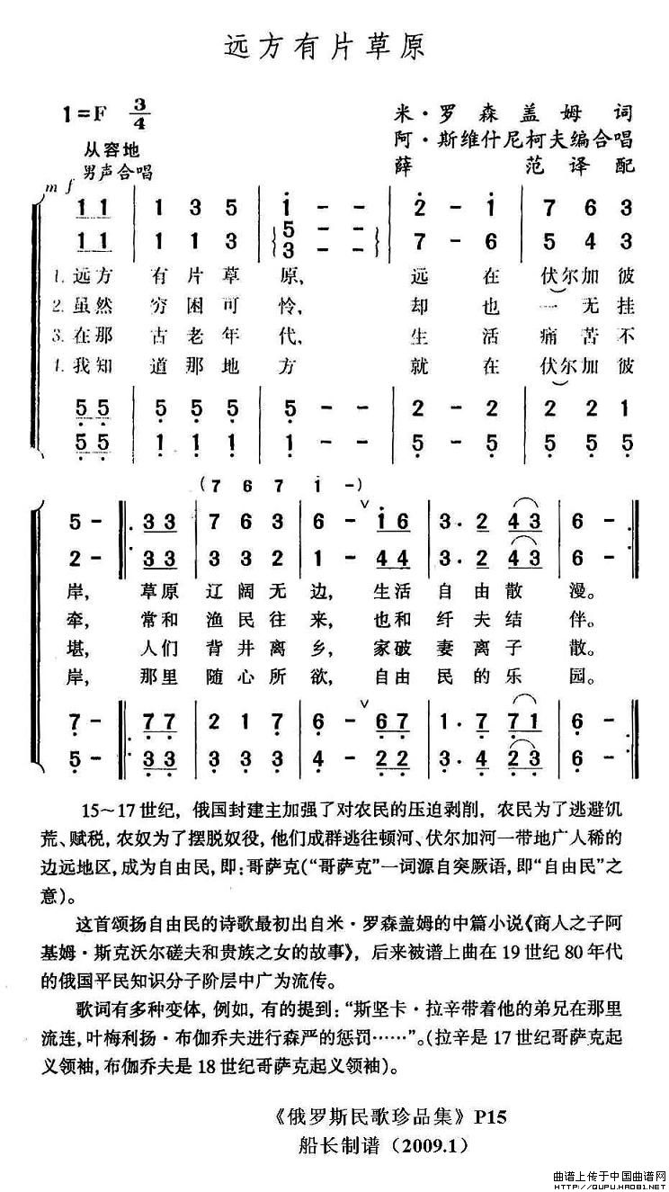
远方有片草原(俄)
远方有片草原(俄)
来源:
谱友瓦莲金娜 转发
时间:2024-08-05 02:21:16
阅读:603 次
上一篇:
远在小河的对岸(前苏联)
下一篇:
[前苏联] 远处的篝火闪着光
五线谱
远方有片草原(俄)
曲谱
远方有片草原(俄)相关五线谱
草原牧民学大寨
那草原
啊!辽阔的俄罗斯草原
燕歌蝶舞大草原
相逢在草原(南美词 郭成显曲)
梦回草原(周正祥词 齐峰 朱永飞曲)
草原情歌飞(刘顶柱词 祝云英曲)
我唱我草原
云中草原我可爱的家乡
青青大草原
慈母伊敏河(又名:草原慈母依敏河)
我爱你草原
草原情(词牛自强 曲张艺军)
草原上的格桑拉(正谱)
我给草原的姑娘发微信
从前的草原
思念草原(李永章词 邰景坤曲)
吉祥草原 (汪晓罗词 党继志曲)
我是草原小骑手(二胡独奏曲)
初到草原
草原之夜(记录影片《绿色的原野》插曲)
草原夜色美(富鲁格+弦乐队+钢片琴)
这片草原(克明词 乌拉托嘎曲)
草原晨曲(《草原晨曲》主题曲)
且听草原(阿毛词 刘续红曲)
草原上唱起不落的太阳
情恋大草原
我把草原上的哥哥爱
我的新娘在草原
草原情思(叶方义词 张志辉曲)
五线谱乐器
古琴
民乐合奏
长笛
萨克斯
架子鼓
十二孔陶笛
古筝
笙
管子
尤克里里
单簧管
扬琴
二胡
葫芦丝
四孔陶笛
中阮
电吉他
唢呐
笛箫
竖琴
吉他
提琴
八孔竖笛
其它乐谱
钢琴
口琴
圆号
电子琴
笛子
六孔陶笛
大提琴
爵士鼓
手风琴
非洲手鼓